30.04.2025

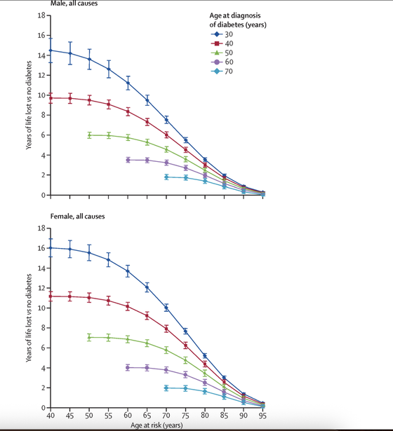
Ważne doniesienie dotyczące przeżywalności osób z cukrzycą w zależności od wieku zachorowania:

 

Statystyki są "brutalne": pacjent, który zachorował w wieku 30 lat żyje 14-16 lat krócej, jeśli zachorował w wieku 40 lat żyje 10-11 lat krócej, jeśli miał nieszczęście zachorować w wieku 50 lat, jego życie statystycznie skraca się o 5-6 lat. To tylko STATYSTYKA, nie wyrok. Pacjent z PRAWIDŁOWO kontrolowaną chorobą ma szansę dożyć sędziwej starości. Musi tylko/aż przestrzegać zaleceń lekarskich i ufać lekarzowi prowadzącemu a nie "medycynie internetowej".

 

 

10.08.2023

Nowe miejsce świadczenia porad diabetologicznych

 

Od 24. sierpnia podjąłem współpracę w zakresie porad diabetologicznych w Proszowicach z  "ProZdrowie" Centrum Ortopedyczno-Diagnostycznym mieszącym się przy ul. Szpitalnej 21. 

Umowa obejmuje porady diabetologiczne 2x w miesiącu. Będą to zwykle drugi i czwarty czwartek miesiąca.

Serdecznie zapraszam pacjentów z północnej Małopolski i południowych rejonów województw ościennych ..

06.07.2023

Zakończenie współpracy z placówką w Wadowicach 

 

Uprzejmie informuję, że zakończyłem współpracę z Wadowickim Centrum Medyczno-Rehabilitacyjnym. Powodem zakończenia współpracy była zmiana lokalizacji placówki co spowodowało gorszy dojazd i w związku z tym mniejszą liczbę rejestrowanych pacjentów. 

 

01.09..2022

Nie oczekuję i nie stawiam ponadprzeciętnych wymagań:

 
...ale podczas 3-tygodniowego trekkingu w Norwegii udało mi się zbliżyć do wagi z dnia ślubu. Było to 30 lat temu. Minęło kilka tygodni od powrotu i utrzymuję wagę.

 

 

 

28.12.2021

Bardzo ważne doniesienie naukowe dotyczące roli redukcji masy ciała u pacjentów z cukrzycą t. 2:

 
W badaniu DiRECT, w którym oceniano intensywną zmianę stylu życia u pacjentów z nadwagą lub otyłością i cukrzycą typu 2, trwającą krócej niż 6 lat, wykazano remisję cukrzycy po dwóch latach u 70 proc. osób, które straciły 15 kg lub więcej (przy średniej wyjściowej wadze 100 kg). Ponadto w badaniach z zakresu chirurgii bariatrycznej wykazano zarówno natychmiastowe, jak i trwałe korzyści dla pacjentów z cukrzycą i otyłością obejmujące zmniejszenie potrzeby stosowania leków obniżających stężenie glukozy w ciągu kilku dni po zabiegu i poprawę wielu wskaźników zdrowia w perspektywie długoterminowej.

 

 

14.01.2021

Nowe miejsce świadczenie usług medycznych!!!

 
Od dnia 14.01.2021 Gabient Diabetologiczny, dzięki podpisanej umówie o współpracę, świadczy usługi w Wadowicach

Dzięki temu pacjenci z Wadowic i okolic mają zapewniony lepszy dostęp do prywatnej opieki diabetologicznej. Zakres świadczonych usług jest taki sam jak w moim gabinecie w Krakowie. 

Miejscem świadczenia porad jest:

Wadowickie Centrum Medyczno-Rehabilitacyjne

ul. Doktora Józefa Putka 7a, 34-100 Wadowice

http://www.wcmr.pl/gabinety-specjalistyczne/diabetologia.html

W zakładce "Rezerwacja wizyt i cennik" jest możliwość bezpośredniej rezerwacji terminu wizyty.

 

Serdecznie zapraszam pacjentów do korzystania z fachowych porad z zakresu diabetologii, leczenie otyłości, zaburzeń lipidowych, nadciśnienia tętniczego i innych, wybranych schorzeń metabolicznych. 

 

 

11.05.2020

Nowa informacja związana z epidemią SARS-CoV-2

 

UWAGA!!!!
Od dnia 18.05.2020 Gabient Diabetologiczny wznawia działalność w trybie stacjonarnym po przerwie.
Pacjenci zgłaszający się na wizytę otrzymają  JEDNORAZOWĄ MASECZKĘ CHIRURGICZNĄ jeśli noszona przez nich nie będzie spełniała wymogów sanitarnych.  Po wejściu do gabinetu obowiązuje odkażenie rąk.

W przypadku konieczności szerszego omówienia danego przypadku klinicznego zastrzegam sobie prawo do skrócenia pobytu pacjenta w gabinecie a omówienie problemu wraz z zaleceniami oraz recepty prześlę wówczas tego samego dnia via e-mail.

Nadal świadczone są usługi w formie porad online.
Poradę online, tak jak do tej pory, można zarezerwować poprzez portal ZnanyLekarz korzystając z formularza rezerwacji dostępnego po lewej stronie ekranu lub poprzez kontakt telefonicznych ze mną dzwoniąc na nr 605 66 73 63.

W przypadku rezerwacji porady online poprzez Portal ZanyLekarz należy opłacić usługę przy użyciu płatności internetowych dostępnych w trakcie rejestracji porady. Rezerwacje porad online, które nie zostaną opłacone są po godzinie automatycznie usuwane z kalendarza.  Przed poradą online zachęcam do wysłania na mój adres e-mail  (cukrzyca.krakow@icloud.com) posiadanych wyników badań, kart informacyjnych oraz innej dokumentacji medycznej.
W przypadku odwołania porady online do 6 godzin przed jej terminem zwracana jest pełna kwota. Po tym czasie zwrot wynosi 50% kwoty.

22.03.2020

Informacja związana z epidemią SARS-CoV-2

 

Szanowni Państwo.

Z powodu ogłoszonej epidemii wywołanej zakażeniami wirusem SARS-CoV-2 działalność gabinetu przy ul. Brożka jest całkowicie zawieszona.

Aktualnie pozostaję w łączności z pacjentami jedynie poprzez porady online. Pacjentów chcących skorzystać z porady online zachęcam do zarezerwowania terminu poprzez portal ZnanyLekarz.pl lub do skontaktowania się ze mną telefonicznie.

Konsultacje mają formę porady telefonicznej (nr 605 66 73 63) lub poprzez komunikator Skype (mój identyfikator to krz_mar). Koszt porady regulowany jest po wizycie przelewem na moje konto.

W razie posiadania wyników badań, samokontroli glukozy lub innych istotnych informacji sugeruję przesłanie ich wcześniej na email: cukrzyca.krakow@icloud.com.

Ukłony, Krzysztof Marzec.

25.11.2019

ZMIANA GABINETU

 

W związku z rozszerzeniem grafiku przyjęć uprzejmie informuję o zmianie gabinetu. Od dnia dzisiejszego przyjmować będę w gabinecie nr 32 a nie 36 jak dotychczas.

20.07.2019

URLOP 2019

 

Uprzejmie informuję, że Gabinet Diabetologiczny jest nieczynny do 1. września z powodu przerwy urlopowej. W pilnych sprawach proszę o pozostawienie wiadomości pod numerem telefonu +48 605667363 lub wysłanie maila na adres cukrzyca.krakow@icloud.com. W miarę dostępu do sieci w miejscach gdzie będę przebywać obiecuję pozostawać w kontakcie.
Rejestracja na wizyty poprzez portal ZnanyLekarz.pl działa w tym okresie normalnie.

11.12.2018

NAGRODA DLA GABINETU DIABETOLOGICZNEGO

 

Z radością i satysfakcją pragnę podzielić się informacją o przyznaniu mojemu gabinetowi tytułu LAUREATA w ogólnopolskim konkursie ORŁY MEDYCYNY  za rok 2018. Gabinet Diabetologiczny otrzymał łączną ocenę 10.0/10 pkt tym samym wyprzedzając ponad 172 tysiące innych gabinetów lekarskich w Polsce. Tytuł w konkursie przyznawany w oparciu o oceny wystawione danej placówce przez Pacjentów.  Dziękuję wszystkim Państwu za okazane zaufanie.

27.08.2018

Przerwa urlopowa!!!

Uprzejmie informuję, że w okresie 29.08.2018 - 23.09.2018 Gabinet Diabetologiczny będzie nieczynny. W tym czasie nie będę dostępny również pod numerem telefonu gabinetu. W związku z tym zapraszam do kontaktu poprzez email. Będę starać się odpowiadać na otrzymane wiadomości w zależności od dostępności sieci w miejscach, gdzie będę przebywać. 
Rejestracja na wizyty poprzez portal ZnanyLekarz.pl działa w tym okresie normalnie.

Krzysztof Marzec - ZnanyLekarz.pl

Dane adresowe:

lek. med. Krzysztof Marzec

specjalista chorób wewnętrznych

specjalista diabetolog

ul. Jana Brożka 1

gabinet nr 32

30-347 Kraków

email: cukrzyca.krakow@icloud.com

Rejestracja telefoniczna:

pon-pią w godzinach 18:00 - 20:00

tel. 605 66 73 63

Rejestracja online:

Krzysztof Marzec - ZnanyLekarz.pl